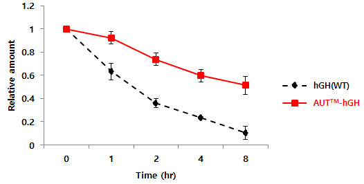
UbiProtein's technology prevents protein degradation through the ubiquitination process by applying AUT™ (Anti-Ubiquitination Technology) to help protein medicines remain in the body for a longer period of time, and to reduce in vitro excretion by applying ABD (Albumin Binding Domain) to bind proteins to albumin in the blood.
